Beranda
/ Tentukan Banyak Lingkaran Pada Pola Ke 100 - Kunci Jawaban Matematika Kelas 8 Halaman 30 33 Ayo Kita Berlatih 1 5 Kosingkat : Suatu reuni sekolah dihadiri oleh 50 orang.
Tentukan Banyak Lingkaran Pada Pola Ke 100 - Kunci Jawaban Matematika Kelas 8 Halaman 30 33 Ayo Kita Berlatih 1 5 Kosingkat : Suatu reuni sekolah dihadiri oleh 50 orang.
Tentukan Banyak Lingkaran Pada Pola Ke 100 - Kunci Jawaban Matematika Kelas 8 Halaman 30 33 Ayo Kita Berlatih 1 5 Kosingkat : Suatu reuni sekolah dihadiri oleh 50 orang.. Nyatakan ilustrasi dari pola tersebut. Suatu reuni sekolah dihadiri oleh 50 orang. Tentukan banyak lingkaran pada pola ke 100#wahana_q#wahana_matematika 5, 12, 21, 32, 45, …. Matematika kelas 8 kurtilas revisi barisan bilangan aritmatika
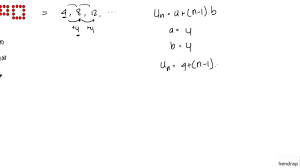
5, 12, 21, 32, 45, …. Jadi, banyak sisi pada prisma tersebut adalah n + 2. Pola ke 100 dari pola gambar adalah 200 lingkaran. Setiap bilangan pada pola bilangan disebut suku. Ke atas = 10 + 0 ke kanan = 10 + 1
Tentukan Banyak Lingkaran Pada Pola Ke Pada Pola from img-video-tracking.ruangguru.com Tentukan banyak lingkaran pada pola ke 20 dari pola berikut: Tentukan banyak lingkaran pada pola ke 100#wahana_q#wahana_matematika 1 lihat jawaban iklan iklan eeeredar eeeredar jawaban: Tentukan banyak lingkaran pada pola ke 100 pada pola berikut! 1 lihat jawaban iklan iklan haiii78 haiii78 jawaban: Tiga suku berikutnya dari barisan 3, 4, 7, 11, 18, … adalah 29, 47, 76. Jika pasangan bilangan berikut ini dilanjutkan, tentukan pasangan bilangan 100. Matematika kelas 8 kurtilas revisi barisan bilangan aritmatika
Jadi, banyak sisi pada prisma tersebut adalah n + 2.
Terakhir diupdate 14 desember 2020. Tentukan banyak lingkaran pada pola ke 100 pada pola berikut! Tentukan banyak lingkaran pada pola ke 101 pada ko. Tentukan banyak lingkaran pada pola ke 20 dari pola berikut: Tentukan banyak lingkaran pada pola ke 100#wahana_q#wahana_matematika Pakai aturan barisan bilangan genap. Pola bilangan adalah barisan bilangan yang mengikuti pola tertentu dalam pembentukannya. Pola 1 = 2pola 2 = 6p. Pola ke 100 dari pola gambar adalah 200 lingkaran. 5, 12, 21, 32, 45, …. Tiga suku berikutnya dari barisan 3, 4, 7, 11, 18, … adalah 29, 47, 76. Ke atas = 10 + 0 ke kanan = 10 + 1 Jika pasangan bilangan berikut ini dilanjutkan, tentukan pasangan bilangan 100.
Nyatakan ilustrasi dari pola tersebut. Ke atas = 10 + 0 ke kanan = 10 + 1 Suatu reuni sekolah dihadiri oleh 50 orang. Terakhir diupdate 14 desember 2020. Jika pasangan bilangan berikut ini dilanjutkan, tentukan pasangan bilangan 100.
Tentukan Banyak Lingkaran Pada Ke 10 Ke 100 Ke N Pada Berikut Untuk Sebarang N Bilangan Bulat Positif 1 3 2 6 3 10 from studyassistant-id.com Ada berapa salam yang terjadi? Nyatakan ilustrasi dari pola tersebut. Tentukan banyak lingkaran pada pola ke 101 pada konfigurasi objek berikut. 2 1 , 6 1 , 12 1 a. 4 perhatikan gambar pola berikut! Tentukan banyak lingkaran pada pola ke 10, ke 100, ke n pada pola berikut, untuk sebarang n bilangan bulat positif. Maaf kalo salah yo bree pertanyaan baru di matematika. Terakhir diupdate 14 desember 2020.
Jika n menyatakan banyak rusuk pada suatu prisma, tentukan banyak sisi pada prisma tersebut.
Kurikulum 2013 matematika 31 di unduh dari : 2 1 , 6 1 , 12 1 a. Pola bilangan adalah barisan bilangan yang mengikuti pola tertentu dalam pembentukannya. Tentukan banyak lingkaran pada pola ke 10, ke 100, ke n pada pola berikut, untuk sebarang n bilangan bulat positif. Matematika kelas 8 kurtilas revisi barisan bilangan aritmatika Nyatakan ilustrasi dari pola tersebut. Suatu reuni sekolah dihadiri oleh 50 orang. Jika pasangan bilangan berikut ini dilanjutkan, tentukan pasangan bilangan 100. 50 + 3 = 53 arah ke atas: Tiga suku berikutnya dari barisan 3, 4, 7, 11, 18, … adalah 29, 47, 76. Jadi, banyak sisi pada prisma tersebut adalah n + 2. Berdasarkan contoh 1.10 tentukan banyak cabang pada lapis: Ada berapa salam yang terjadi?
Soal segmen 1 nomor 2 (kemdikbud.go.id) jawaban: Jadi, banyak sisi pada prisma tersebut adalah n + 2. Pola 1 = 2pola 2 = 6p. Pakai aturan barisan bilangan genap. Jika pasangan bilangan berikut ini dilanjutkan, tentukan pasangan bilangan 100.
Pdf Bab 1 Pola Bilangan Surya Ningsih S Si Academia Edu from 0.academia-photos.com Suatu reuni sekolah dihadiri oleh 50 orang. Tentukan banyak lingkaran pada pola ke 20 dari pola berikut: Jadi, banyak sisi pada prisma tersebut adalah n + 2. 1 lihat jawaban iklan iklan eeeredar eeeredar jawaban: Pola ke 100 dari pola gambar adalah 200 lingkaran. Jadi, banyak sisi pada prisma tersebut adalah n + 2. Tentukan banyak lingkaran pada pola ke 10, ke 100, ke n pada pola berikut, untuk sebarang n bilangan bulat positif. 50 + 3 = 53 arah ke atas:
Tentukan banyak lingkaran pada pola ke 100 pada pola berikut! Tentukan banyak lingkaran pada pola ke 101 pada konfigurasi objek berikut. Jadi, banyak sisi pada prisma tersebut adalah n + 2. Berdasarkan contoh 1.10 tentukan banyak cabang pada lapis: Jika pasangan bilangan berikut ini dilanjutkan, tentukan pasangan bilangan 100. Ke atas = 10 + 0 ke kanan = 10 + 1 Pola bilangan adalah barisan bilangan yang mengikuti pola tertentu dalam pembentukannya. Tentukan banyak lingkaran pada pola ke 20 dari pola berikut: Tiga suku berikutnya dari barisan 3, 4, 7, 11, 18, … adalah 29, 47, 76. 2 1 , 6 1 , 12 1 a. Matematika kelas 8 kurtilas revisi barisan bilangan aritmatika Jadi, banyak sisi pada prisma tersebut adalah n + 2. Tentukan banyak lingkaran pada pola ke 20 dari pola berikut:
Berbagi
Posting Komentar
untuk "Tentukan Banyak Lingkaran Pada Pola Ke 100 - Kunci Jawaban Matematika Kelas 8 Halaman 30 33 Ayo Kita Berlatih 1 5 Kosingkat : Suatu reuni sekolah dihadiri oleh 50 orang."
Posting Komentar untuk "Tentukan Banyak Lingkaran Pada Pola Ke 100 - Kunci Jawaban Matematika Kelas 8 Halaman 30 33 Ayo Kita Berlatih 1 5 Kosingkat : Suatu reuni sekolah dihadiri oleh 50 orang."